Beranda
/ Jangkauan Persentil Data Kelompok / Rumus Persentil Kuartil Dan Desil Beserta Contoh Soalnya : Apabila data yang tersedia adalah data kelompok hal itu berarti data itu dikelompokkan ke dalam desil dan persentil.
Jangkauan Persentil Data Kelompok / Rumus Persentil Kuartil Dan Desil Beserta Contoh Soalnya : Apabila data yang tersedia adalah data kelompok hal itu berarti data itu dikelompokkan ke dalam desil dan persentil.
Jangkauan Persentil Data Kelompok / Rumus Persentil Kuartil Dan Desil Beserta Contoh Soalnya : Apabila data yang tersedia adalah data kelompok hal itu berarti data itu dikelompokkan ke dalam desil dan persentil.. Jangkauan (range) jangkauan merupakan selisih data terbesar dan data terkecil. Untuk menentukan jangkauan pada data kelompok, cari titik tengah pada interval : Dari 100 buah bagian yang dibagi sama banyak tersebut dibatasi oleh 99 buah nilai persentil. Rumus persentil data kelompok bergolong dipakai guna menentukan nilai persentil pada suatu data kelompok. Hamparan atau jangkauan antar kuartil jak merupakan selisih antara kuartil atas.
Tentukan jangkauan dari data di atas ! Cara mencari persentil data tunggal. 10 juni 20155 juli 2015statistika deskriptif tinggalkan komentar. Ukuran penyebaran yang paling sederhana (kasar) merupakan jangkauan (range) atau rentangan. Khusus untuk materi sekarang akan dibahas saja tentang rumus persentil baik itu untuk data kelompok maupun tunggal, berikut ini cara menghitung persentil tunggal dan kelompok.
Ukuran Variansi Dan Simpangan Baku Rafif Design from rafifdesign.files.wordpress.com Berat badan frekuensi ( f. Khusus untuk materi sekarang akan dibahas saja tentang rumus persentil baik itu untuk data kelompok maupun tunggal, berikut ini cara menghitung persentil tunggal dan kelompok. Berdasarkan data tunggal, data tunggal berbobit, dan data kelompok di atas maka tentukanlah: Yang saya sedikit lupa adalah mencari jangkauan pada data kelompok. Jangkauan (range) jangkauan merupakan selisih data terbesar dan data terkecil. Materi yang saya tulis adalah mengambil dari slide kuli. ., 9 n = banyaknya data persentil keterangan: ., 99 n = banyaknya.
Untuk menentukan jangkauan pada data kelompok, cari titik tengah pada interval :
10 juni 20155 juli 2015statistika deskriptif tinggalkan komentar. Persentil, nilai batas yang membagi data menjadi 100 bagian yang sama besar. Tentukan desil 7 dari data table berikut persentil yang biasa dilambangkan p, adalah titik atau nilai yang membagi suatu distribusi data menjadi seratus bagian yang sama besar. Untuk nilai tertinggi adalah 92 untuk nilai terendah adalah 52. Tentukan jangkauan persentil dari data dibawah ini ! Tentukanlah variansi kelompok data : Jangkauan (range) jangkauan adalah selisih antara nilai maksimum dan nilai minimum yang terdapat dalam data. Berdasarkan data tunggal, data tunggal berbobit, dan data kelompok di atas maka tentukanlah: Atau dengan jak = jangkauan antar kuartil, k3 = kuartil ke 3, k1 = kuartil ke 1. Semoga ilmu yang didapat selalu bermanfaat di kemudian hari , dan semoga artikel ini membantu menambahkan wawasan pengetahuan anda. Berikut data lengkap tentang contoh soal kuartil desil persentil data kelompok. Khusus untuk materi sekarang akan dibahas saja tentang rumus persentil baik itu untuk data kelompok maupun tunggal, berikut ini cara menghitung persentil tunggal dan kelompok. Jadi, jangkauan datanya adalah 40.
Berikut data lengkap tentang contoh soal kuartil desil persentil data kelompok. Soal dan pembahasan statistika tingkat sma sederajat. Jangkauan (range) jangkauan merupakan selisih data terbesar dan data terkecil. Rumus kuartil, desil, dan persentil untuk data tunggal merupakan tiga rumus yang berbeda. Khusus untuk materi sekarang akan dibahas saja tentang rumus persentil baik itu untuk data kelompok maupun tunggal, berikut ini cara menghitung persentil tunggal dan kelompok.
Contoh Soal Persentil Cara Golden from tutorialbahasainggris.co.id 10 juni 20155 juli 2015statistika deskriptif tinggalkan komentar. Jangkauan, disebut juga range yaitu selisih antara data dengan nilai terbesar dan data kuartil, ukuran posisi yang membagi kelompok data menjadi empat bagian sama besar. Soal dan pembahasan statistika tingkat sma sederajat. Untuk menentukan jangkauan pada data kelompok, cari titik tengah pada interval : Tentukan jangkauan persentil dari data dibawah ini ! Yang saya sedikit lupa adalah mencari jangkauan pada data kelompok. Contoh soal persentil data kelompok. Seperti contoh soal soal dibawah ini.
Ukuran penyebaran yang paling sederhana (kasar) merupakan jangkauan (range) atau rentangan.
Jangkauan persentil dirumuskan sebagai berikut. Cara mencari persentil untuk data kelompok. Desil berfungsi untuk membagi data menjadi sepuluh bagian yang sama besar. Jangkauan, disebut juga range yaitu selisih antara data dengan nilai terbesar dan data kuartil, ukuran posisi yang membagi kelompok data menjadi empat bagian sama besar. Buku matematika smk kelompok penjualan dan akuntansi karangan to'ali kelas 12. Jangkauan persentil 1.3 tujuan 1. Persentil, nilai batas yang membagi data menjadi 100 bagian yang sama besar. Atau dengan jak = jangkauan antar kuartil, k3 = kuartil ke 3, k1 = kuartil ke 1. Desil membagi data menjadi sepuluh bagian yang sama besar. Dalam satu urutan data terdapat 99 persentil, masing masing disebut p1 sampai p99. Hamparan atau jangkauan antar kuartil jak merupakan selisih antara kuartil atas. Jangkauan (range) jangkauan merupakan selisih data terbesar dan data terkecil. Cara mencari persentil data tunggal.
Ukuran penyebaran yang paling sederhana (kasar) merupakan jangkauan (range) atau rentangan. Yang saya sedikit lupa adalah mencari jangkauan pada data kelompok. Dari 100 buah bagian yang dibagi sama banyak tersebut dibatasi oleh 99 buah nilai persentil. ., 9 n = banyaknya data persentil keterangan: Desil berfungsi untuk membagi data menjadi sepuluh bagian yang sama besar.
Rumus Persentil Pengertian Contoh Soal Dan Latihan Soal from materibelajar.co.id Dari 100 buah bagian yang dibagi sama banyak tersebut dibatasi oleh 99 buah nilai persentil. Ukuran penyebaran data ini terdiri dari: Jangkauan suatu data adalah selisih antara data terbesar dengan data terkecil. Buku matematika smk kelompok penjualan dan akuntansi karangan to'ali kelas 12. Ukuran penyebaran yang paling sederhana (kasar) merupakan jangkauan (range) atau rentangan. Rumus persentil data kelompok bergolong dipakai guna menentukan nilai persentil pada suatu data kelompok. Persentil yang dimaksud dengan persentil adalah data yang membagi posisi sekumpulan data yang telah diurutkan menjadi seratus bagian. 12 contoh soal jangkauan persentil (data berkelompok) :
Persentil data kelompok sendiri merupakan materi di dalam pelajaran matematika yang cukup banyak dibahas, maka dari itu akan sangat bermanfaat jika pada kesempatan kali ini kamu menyimak dengan lengkap ulasan yang kami berikan di bawah ini.
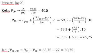
Hitunglah jangkauan persentil dari data pada contoh persentil data berkelompok di atas. Ukuran penyebaran data ini terdiri dari: Persentil data kelompok sendiri merupakan materi di dalam pelajaran matematika yang cukup banyak dibahas, maka dari itu akan sangat bermanfaat jika pada kesempatan kali ini kamu menyimak dengan lengkap ulasan yang kami berikan di bawah ini. ., 9 n = banyaknya data persentil keterangan: Contoh soal desil data kelompok. Materi yang saya tulis adalah mengambil dari slide kuli. Tentukanlah variansi kelompok data : Desil berfungsi untuk membagi data menjadi sepuluh bagian yang sama besar. Jangkauan persentil 1.3 tujuan 1. Dari 100 buah bagian yang dibagi sama banyak tersebut dibatasi oleh 99 buah nilai persentil. Jangkauan suatu data adalah selisih antara data terbesar dengan data terkecil. Jadi, persentil merupakan pembagian data terurut ke dalam 100 bagian sama banyak. Berat badan frekuensi ( f.
Berbagi
Posting Komentar
untuk "Jangkauan Persentil Data Kelompok / Rumus Persentil Kuartil Dan Desil Beserta Contoh Soalnya : Apabila data yang tersedia adalah data kelompok hal itu berarti data itu dikelompokkan ke dalam desil dan persentil."
Posting Komentar untuk "Jangkauan Persentil Data Kelompok / Rumus Persentil Kuartil Dan Desil Beserta Contoh Soalnya : Apabila data yang tersedia adalah data kelompok hal itu berarti data itu dikelompokkan ke dalam desil dan persentil."